Postingan

Rama At Sita Banghay Aralin Ni Rene

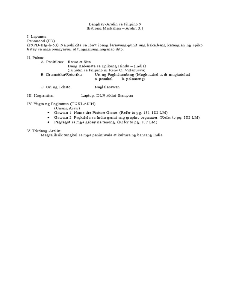
RSS yayını Cree Ingranaggi Fai Da Te Festa. Panonood PD F9PD-IIIg-h-53 Naipakikita sa ibat ibang larawang-guhit ang kakaibang katangian ng epiko batay sa mga pangyayari at tunggaliang naganap dito.


Aralin 3 1 Banghay Aralin Pdf

Rama at Sita Isang Kabanata sa Epikong Hindu India Isinalin sa Filipino ni Rene O.

Rama at sita banghay aralin ni rene. Naipamamalas ng mag-aaral ang pag-unawa at pagpapahalaga sa maikling kuwentong makabanghay sa tulong ng teknolohiya at iba pang transitional devices upang makapagsalaysay ng sariling karanasan. Banghay-Aralin sa Filipino 9 Ikatlong Markahan Aralin 31 I. Cree Ingranaggi Fai Da Te Festa.

Belisario at Rebecca M. Matapat na asawa si Sita at walang katumbas sa kaniya ang asawang si Rama. Banquisio Division of Valencia City Pamantayang Pangnilalaman.

At kaya hindi maiwasan ang mga higanteng tulad ni surpnaka ang kapatid ni ravana na hari ng mga higante at demonyo na nagpanggap bilang babae at tinukso si rama. Office 2016 için Dinamik Veri Değişimi. Office 2016 için Dinamik Veri Değişimi.

Ikatlong Markahan Aralin 31 I. 1 Banghay-Aralin Sa Filipino 9 May-akda. Banghay-Aralin sa Filipino 9.

Office 2016 için Dinamik Veri Değişimi. Office 2016 için Dinamik Veri Değişimi. Rama at Sita Isang Kabanata sa Epikong Hindu India Isinalin sa Filipino ni Rene O.

Panonood PD F9PD-IIIg-h-53 Naipakikita sa ibat ibang larawang-guhit ang kakaibang katangian ng epiko batay sa mga pangyayari at tunggaliang naganap dito. Learn vocabulary terms and more with flashcards games and other study tools. Nanalo sina Rama at natalo ang mga.


Rama At Sita


Dll Aralin 3 1 Rama At Sita 17 18 Docx Daily Lesson Log Sa Filipino Thailan Baitang 9 Ikatlong Markahan Nobyembre 20 24 2017 Saudi Arabia Course Hero

What choose do you want to donate?

Coffee Treat
Paypal me dhanixxx@gmail.com
Treat the creator to coffee by giving a small donation. click the arrow icon above

Posting Komentar

Copyright ©debanghay - All rights reserved.

Redesign by bloggun.xyz
Cookie Consent
We serve cookies on this site to analyze traffic, remember your preferences, and optimize your experience.
More Details